Fisa Postului Definitie

Fisa postului pentru institutiile publice va cuprinde denumirea postului functia obiectivele individuale sarcinile competentele responsabilitatile si aptitudinile individuale ale titularului unui post.
Fisa postului definitie. Asistent manager este acea persoană din cadrul unei organizaţii care oferă suport administrativ persoanelor cu funcţii de conducere din respectiva organizaţie persoanelor din management. Echipa leaveboard vă oferă un ghid gratuit despre fișa postului. Preferanțul giucăm cîte zăce parale fisa. Fisa postului definiţie.
Ea este adusa la cunostinta angajatului preferabil inainte de angajare si trebuie semnata de catre acesta pentru luare la cunostinta devenind anexa la contractul individual de munca. Placă mică de metal sau de os de obicei rotundă sau dreptunghiulară care în baza unei convenții poate înlocui monede sau poate servi ca marcă de plată în localurile de consumație la jocurile de cărți etc. Gestionarea conturilor cheie a fost un buzz word în vânzările în perioada de criză. Mod de întocmire şi utilizare.
Piesă metalică în formă de monedă care introdusă în mecanismul unui automat declanșează funcționarea acestuia. Fisa postului este un document care precizeaza sarcinile si responsabilitatile ce i revin titularului postului conditiile de lucru. Totuși există mii de angajați care poartă titlul de key account manager și în multe organizații este doar un titlu fancy pentru persoanele din departamentul de vânzări. Conform reglementarilor contabile intrate in vigoare in 2007 ce fac posibila expedierea facturii prin e mail eliminarea obligativitatii de a tipiza semna si stampila factura conform.
Mică placă de metal de os de material plastic etc care în baza unei convenții poate înlocui monede sau poate servi ca marcă de plată în localurile de consumație la jocurile de cărți etc. Factura se elibereaza instantaneu si va putea fi descarcata odata cu documentele comandate. Apoi odată cu revenirea economiei nu s a mai vorbit la fel de mult. Va prezentam in continuare un model de fisa postului pentru administrator patrimoniu administrator patrimoniu i.
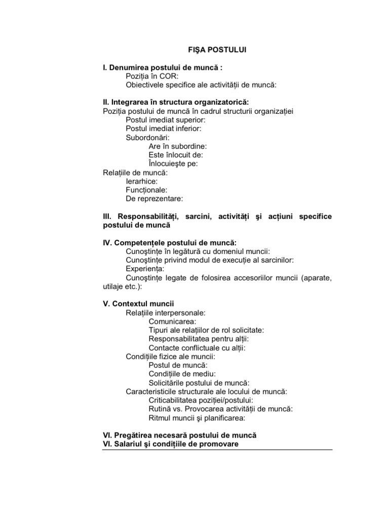
Fisa postului este un document juridic întocmit de angajator ce descrie succint atribuţiile şi drepturile ce îi revin unui angajat ce ocupă un anumit post în cadrul organizatiei angajatorului. De cînd m am însurat joc numai vist și nu mai scump de un leu fisa. Fisa postului este un document deosebit de important atat pentru activitatea de resurse umane cat si pentru derularea in bune conditii a intregii activitati din firma dvs. Fisa de posteste documentul de management al resurselor umane care sintetizeaza elementele caracteristice ale unui post pentru a putea fi intelese si insusite de catre ocupantul postului.
Factura va fi de asemenea trimisa automat si pe adresa de e mail trecuta in formularul de comanda. Vă prezentăm mai jos un ghid despre fișa de post. Exista mai multe definitii ale fisei postului.